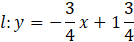
W tym zadaniu musisz wyznaczyć wzór prostej, będącej symetralną odcinka AB.
Aby wyznaczyć symetralną odcinka, zacznij od obliczenia współrzędnych jego środka. Następnie wyznacz wzór prostej, do której należy odcinek. Ponieważ symetralna jest prostopadła do odcinka, iloczyn współczynnika kierunkowego symetralnej i prostej zawierającej odcinek musi być równy -1. Drugi współczynnik oblicz przez podstawienie do wzoru symetralnej współrzędnych środka odcinka.
Zadanie 2
294Zadanie 4
294Zadanie 5
294Zadanie 6
294Zadanie 1
300Zadanie 2
300Zadanie 3
300Zadanie 4
300Zadanie 5
300Zadanie 6
300Zadanie 7
300Zadanie 8
300Zadanie 2
306Zadanie 3
306Zadanie 4
306Zadanie 5
307Zadanie 6
307Zadanie 7
307Zadanie 8
307Zadanie 12
307Zadanie 1
312Zadanie 2
301Zadanie 3
312Zadanie 4
312Zadanie 5
312Zadanie 6
301Zadanie 7
312Zadanie 8
312Zadanie 3
323Zadanie 7
323Zadanie 13
325Zadanie 14
325Zadanie 16
325Zadanie 20
325