W tym zadaniu musisz podać równanie podanej prostej.
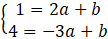
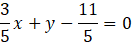
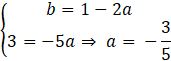
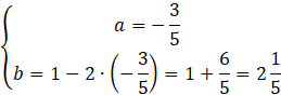
Aby wyznaczyć równanie szukanej prostej, najpierw zapisz je w postaci kierunkowej. Podstaw do niego współrzędne punktów P i Q otrzymując układ równań. Rozwiązaniami układu są współczynniki równania prostej w postaci kierunkowej. Otrzymany wzór przekształć do postaci ogólnej.
Zadanie 2
294Zadanie 4
294Zadanie 5
294Zadanie 6
294Zadanie 1
300Zadanie 2
300Zadanie 3
300Zadanie 4
300Zadanie 5
300Zadanie 6
300Zadanie 7
300Zadanie 8
300Zadanie 2
306Zadanie 3
306Zadanie 4
306Zadanie 5
307Zadanie 6
307Zadanie 7
307Zadanie 8
307Zadanie 12
307Zadanie 1
312Zadanie 2
301Zadanie 3
312Zadanie 4
312Zadanie 5
312Zadanie 6
301Zadanie 7
312Zadanie 8
312Zadanie 3
323Zadanie 7
323Zadanie 13
325Zadanie 14
325Zadanie 16
325Zadanie 20
325