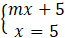
W tym zadaniu musisz sprawdzić, dla jakich wartości parametru m dane proste spełniają podany warunek.
P(x, 0)
Ponieważ proste mają przeciąć się na osi OX, punkt ich przecięcia będzie miał współrzędne (x, 0). Podstaw te współrzędne do wzorów prostych, otrzymując tym samym układ równań z dwoma niewiadomymi. Rozwiąż ten układ, otrzymując współrzędne punktu przecięcia oraz szukaną wartość parametru m.
Zadanie 2
294Zadanie 4
294Zadanie 5
294Zadanie 6
294Zadanie 1
300Zadanie 2
300Zadanie 3
300Zadanie 4
300Zadanie 5
300Zadanie 6
300Zadanie 7
300Zadanie 8
300Zadanie 2
306Zadanie 3
306Zadanie 4
306Zadanie 5
307Zadanie 6
307Zadanie 7
307Zadanie 8
307Zadanie 12
307Zadanie 1
312Zadanie 2
301Zadanie 3
312Zadanie 4
312Zadanie 5
312Zadanie 6
301Zadanie 7
312Zadanie 8
312Zadanie 3
323Zadanie 7
323Zadanie 13
325Zadanie 14
325Zadanie 16
325Zadanie 20
325