W tym zadaniu musisz wyznaczyć współczynniki kierunkowe prostych i ocenić, czy są równoległe.
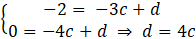
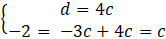
Aby obliczyć wartości współczynników równań prostych podstaw współrzędne punktów, przez które przechodzi prosta do jej wzoru. Otrzymasz układ równań, z którego możesz obliczyć wartości współczynników. (Rozwiązanie układu możesz skończyć na wyznaczeniu wartości współczynnika kierunkowego, ponieważ tylko on jest potrzebny do udzielenia odpowiedzi).
Ponieważ współczynniki kierunkowe obu prostych nie są równe, proste te nie są równoległe.
Zadanie 2
294Zadanie 4
294Zadanie 5
294Zadanie 6
294Zadanie 1
300Zadanie 2
300Zadanie 3
300Zadanie 4
300Zadanie 5
300Zadanie 6
300Zadanie 7
300Zadanie 8
300Zadanie 2
306Zadanie 3
306Zadanie 4
306Zadanie 5
307Zadanie 6
307Zadanie 7
307Zadanie 8
307Zadanie 12
307Zadanie 1
312Zadanie 2
301Zadanie 3
312Zadanie 4
312Zadanie 5
312Zadanie 6
301Zadanie 7
312Zadanie 8
312Zadanie 3
323Zadanie 7
323Zadanie 13
325Zadanie 14
325Zadanie 16
325Zadanie 20
325