W tym zadaniu musisz wyznaczyć wzór podanego okręgu.
Aby rozwiązać zadanie, w pierwszej kolejności zapisz równanie okręgu w postaci kanonicznej.
Następnie podstaw do niego współrzędne punktów A, B, C otrzymując układ trzech równań.
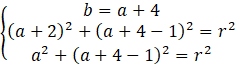
Przyrównaj pierwsze i drugie równanie. Wymnóż nawiasy za pomocą wzorów skróconego mnożenia, a następnie zredukuj jednomiany podobne i wyznacz wartość zmiennej b w zależności od a.
Podstaw wyznaczoną wartość b do 2 i 3 równania.
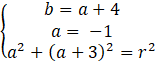
Przyrównaj 2 i 3 równanie. Wymnóż nawiasy, zredukuj jednomiany podobne i oblicz wartość a.
Na podstawie wartości x oblicz wartość b, a następnie r2.
Zadanie 2
294Zadanie 4
294Zadanie 5
294Zadanie 6
294Zadanie 1
300Zadanie 2
300Zadanie 3
300Zadanie 4
300Zadanie 5
300Zadanie 6
300Zadanie 7
300Zadanie 8
300Zadanie 2
306Zadanie 3
306Zadanie 4
306Zadanie 5
307Zadanie 6
307Zadanie 7
307Zadanie 8
307Zadanie 12
307Zadanie 1
312Zadanie 2
301Zadanie 3
312Zadanie 4
312Zadanie 5
312Zadanie 6
301Zadanie 7
312Zadanie 8
312Zadanie 3
323Zadanie 7
323Zadanie 13
325Zadanie 14
325Zadanie 16
325Zadanie 20
325