W tym zadaniu musisz podać współrzędne punktu D będącego spodkiem wysokości poprowadzonej z punktu B.
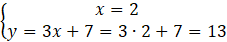
Prosta AC:
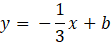
Wysokość:
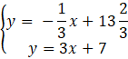
Spodek wysokości:
Aby rozwiązać zadanie, w pierwszej kolejności wyznacz równanie prostej zawierającej bok AC trójkąta. W tym celu podstaw do równania prostej współrzędne punktów A i C i rozwiąż otrzymany układ równań.
Następnie wyznacz współczynnik kierunkowej prostej prostopadłej do AC – zawierającej wysokość trójkąta. Do otrzymanego równania podstaw współrzędne punktu B i tym samym wyznacz wartość współczynnika b.
Aby znaleźć spodek wysokości znajdź punktu przecięcia prostej zawierającej wysokość i bok trójkąta – w tym celu rozwiąż układ równań.
Zadanie 2
294Zadanie 4
294Zadanie 5
294Zadanie 6
294Zadanie 1
300Zadanie 2
300Zadanie 3
300Zadanie 4
300Zadanie 5
300Zadanie 6
300Zadanie 7
300Zadanie 8
300Zadanie 2
306Zadanie 3
306Zadanie 4
306Zadanie 5
307Zadanie 6
307Zadanie 7
307Zadanie 8
307Zadanie 12
307Zadanie 1
312Zadanie 2
301Zadanie 3
312Zadanie 4
312Zadanie 5
312Zadanie 6
301Zadanie 7
312Zadanie 8
312Zadanie 3
323Zadanie 7
323Zadanie 13
325Zadanie 14
325Zadanie 16
325Zadanie 20
325