W tym zadaniu musisz wyznaczyć współczynniki kierunkowe prostych i ocenić, czy są równoległe.
Proste są równoległe.
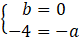
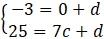
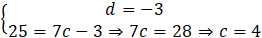
Aby obliczyć wartości współczynników równań prostych, podstaw współrzędne punktów, przez które przechodzi prosta do jej wzoru. Zapisz układy równań, po których rozwiązaniu wyznacz wartości współczynników.
Ponieważ współczynniki kierunkowe obu prostych są równe, proste te są równoległe.
Zadanie 2
294Zadanie 4
294Zadanie 5
294Zadanie 6
294Zadanie 1
300Zadanie 2
300Zadanie 3
300Zadanie 4
300Zadanie 5
300Zadanie 6
300Zadanie 7
300Zadanie 8
300Zadanie 2
306Zadanie 3
306Zadanie 4
306Zadanie 5
307Zadanie 6
307Zadanie 7
307Zadanie 8
307Zadanie 12
307Zadanie 1
312Zadanie 2
301Zadanie 3
312Zadanie 4
312Zadanie 5
312Zadanie 6
301Zadanie 7
312Zadanie 8
312Zadanie 3
323Zadanie 7
323Zadanie 13
325Zadanie 14
325Zadanie 16
325Zadanie 20
325