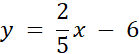
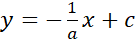
Wskaż prostą, która jest prostopadła do podanej. Na podstawie tej informacji wybierz prawidłową odpowiedź spośród podanych.
Prawidłową odpowiedzią jest A.
Prosta jest prostopadła do prostej o równaniu y=ax+b, jeśli jej wzór ma postać
Zadanie 1.1.
306Zadanie 1.2.
306Zadanie 1.3.
306Zadanie 1.4.
306Zadanie 1.5.
307Zadanie 1.6.
307Zadanie 1.7.
307Zadanie 1.8.
307Zadanie 1.9.
307Zadanie 1.10.
307Zadanie 2.1.
314Zadanie 2.2.
314Zadanie 2.3.
315Zadanie 2.4.
315Zadanie 2.5.
315Zadanie 2.6.
315Zadanie 2.7.
315Zadanie 2.12.
315Zadanie 2.13.
316Zadanie 2.15.
316Zadanie 2.17.
316Zadanie 2.20.
316Zadanie 5.
317Zadanie 6.
317Zadanie 3.1.
322Zadanie 3.2.
323Zadanie 3.3.
323Zadanie 3.4.
323Zadanie 3.6.
323Zadanie 3.7.
324Zadanie 3.8.
324Zadanie 3.12.
324Zadanie 4.1.
329Zadanie 4.2.
329Zadanie 4.3.
329Zadanie 4.4.
330Zadanie 4.5.
330Zadanie 4.6.
330Zadanie 4.7.
330Zadanie 4.8.
331Zadanie 4.14.
332Zadanie 5.2.
339Zadanie 5.3.
339Zadanie 5.4.
339Zadanie 5.5
340Zadanie 5.6
340Zadanie 5.7.
340Zadanie 5.9.
340Zadanie 5.10.
340Zadanie 5.11.
340Zadanie 5.12.
340Zadanie 5.13.
341Zadanie 5.14.
341Zadanie 5.15.
341Zadanie 5.16.
341Zadanie 5.17.
341Zadanie 5.18.
341Zadanie 5.19.
341Zadanie 5.20.
341Zadanie 6.3.
346Zadanie 6.5.
347Zadanie 6.6..
347Zadanie 7.2.
352Zadanie 7.3.
353Zadanie 7.4
353Zadanie 7.5.
353Zadanie 7.9.
354Zadanie 32.
360Zadanie 36.
360Zadanie 37.
360Zadanie 38.
360Zadanie 39.
361Zadanie 40.
361Zadanie 41.
361Zadanie 45.
361Zadanie 50.
362Zadanie 51.
362Zadanie 52.
362