W tym zadaniu musisz obliczyć pole powierzchni całkowitej walca, wiedząc, że po rozwinięciu powierzchni bocznej otrzymano prostokąt o przekątnej p i jednym boku 2 razy większym od drugiego.
Przypadek 1.
Przypadek 2.
Suma kwadratów długości przyprostokątnych trójkąta prostokątnego jest równa kwadratowi długości przeciwprostokątnej tego kwadratu.
PRZYPADEK 1.
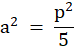
Oblicz z twierdzenia Pitagorasa długość a.
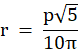
Wiedząc, że obwód jest równy a oblicz długość promienia r.
Oblicz pole podstawy walca
Oblicz pole powierzchni bocznej walca.
Oblicz pole powierzchni całkowitej walca.
PRZYPADEK 2:
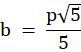
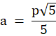
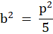
Oblicz z twierdzenia Pitagorasa długość b.
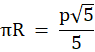
Wiedząc, że obwód jest równy 2b oblicz długość promienia 2R.
Oblicz pole podstawy walca
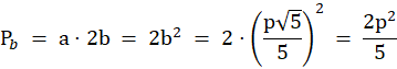
Oblicz pole powierzchni bocznej walca.
Oblicz pole powierzchni całkowitej walca.
Przyjmij oznaczenia jak na rysunku:
Zadanie 2
234Zadanie 3
234Zadanie 4
234Zadanie 5
234Zadanie 6
234Zadanie 7
235Zadanie 8
235Zadanie 9
235Zadanie 10
235Zadanie 13
235Zadanie 14
235Zadanie 15
236Zadanie 17
162Zadanie 18
236Zadanie 24
162Zadanie 25
237Zadanie 26
238Zadanie 27
238Zadanie 1
243Zadanie 3
243Zadanie 4
244Zadanie 5
244Zadanie 6
244Zadanie 7
244Zadanie 8
244Zadanie 9
244Zadanie 10
245Zadanie 12
245Zadanie 14
245Zadanie 15
245Zadanie 16
162Zadanie 2
249Zadanie 3
162Zadanie 4
250Zadanie 6
250Zadanie 14
251Zadanie 1
256Zadanie 2
256Zadanie 9
257Zadanie 11
257Zadanie 16
162Zadanie 1
261Zadanie 4
262Zadanie 5
262Zadanie 8
262Zadanie 11
263Zadanie 12
263