W tym zadaniu musisz wykazać, że objętości brył otrzymanych w wyniku obrotu trójkątów wokół prostej AB są równe, wiedząc, że trójkąty na rysunku mają równe wysokości.
Zauważ, że objętość pierwszej bryły jest równa sumie objętości 2 stożków: 1 o promieniu podstawy h i wysokości x, a 2 o promieniu podstawy h i wysokości y + z
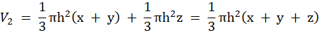
Zauważ także że objętość 2 bryły jest równa sumie objętości 2 stożków: 1 o promieniu podstawy h i wysokości x + y, a 2 o promieniu podstawy h i wysokości z
Oblicz te objętości i porównaj wyniki
Przyjmij oznaczenia jak na rysunku:
Zadanie 2
234Zadanie 3
234Zadanie 4
234Zadanie 5
234Zadanie 6
234Zadanie 7
235Zadanie 8
235Zadanie 9
235Zadanie 10
235Zadanie 13
235Zadanie 14
235Zadanie 15
236Zadanie 17
162Zadanie 18
236Zadanie 24
162Zadanie 25
237Zadanie 26
238Zadanie 27
238Zadanie 1
243Zadanie 3
243Zadanie 4
244Zadanie 5
244Zadanie 6
244Zadanie 7
244Zadanie 8
244Zadanie 9
244Zadanie 10
245Zadanie 12
245Zadanie 14
245Zadanie 15
245Zadanie 16
162Zadanie 2
249Zadanie 3
162Zadanie 4
250Zadanie 6
250Zadanie 14
251Zadanie 1
256Zadanie 2
256Zadanie 9
257Zadanie 11
257Zadanie 16
162Zadanie 1
261Zadanie 4
262Zadanie 5
262Zadanie 8
262Zadanie 11
263Zadanie 12
263