W tym zadaniu musisz obliczyć, która z brył ma największą objętość.
Bryła 1
Bryła 2
Bryła 3
Bryła 4
Bryła 5
Bryła 1
Policz objętość bryły jako objętość stożka o promieniu podstawy r i wysokości h.
Bryła 2
Policz objętość bryły jako sumę objętości dwóch stożków – jeden o promieniu podstawy r i wysokości h1, a drugi o promieniu podstawy r i wysokości h-h1
Bryła 3
Policz objętość bryły jako sumę objętości dwóch stożków – jeden o promieniu podstawy r i wysokości h1, drugi o promieniu podstawy r i wysokości h-h1
Bryła 4
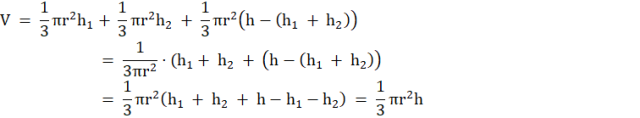
Policz objętość bryły jako sumę objętości 3 stożków jeden o promieniu podstawy r i wysokości h1, drugi o promieniu podstawy r i wysokości h2, a trzeci o promieniu podstawy r i wysokości h – (h1 + h2)
Bryła 5
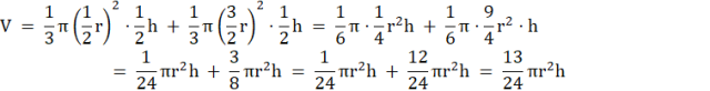
Policz objętość bryły jako sumę objętości 2 stożków, jeden o promieniu podstawy ½ r i wysokości ½ h, a drugi o promieniu podstawy i
Zadanie 2
234Zadanie 3
234Zadanie 4
234Zadanie 5
234Zadanie 6
234Zadanie 7
235Zadanie 8
235Zadanie 9
235Zadanie 10
235Zadanie 13
235Zadanie 14
235Zadanie 15
236Zadanie 17
162Zadanie 18
236Zadanie 24
162Zadanie 25
237Zadanie 26
238Zadanie 27
238Zadanie 1
243Zadanie 3
243Zadanie 4
244Zadanie 5
244Zadanie 6
244Zadanie 7
244Zadanie 8
244Zadanie 9
244Zadanie 10
245Zadanie 12
245Zadanie 14
245Zadanie 15
245Zadanie 16
162Zadanie 2
249Zadanie 3
162Zadanie 4
250Zadanie 6
250Zadanie 14
251Zadanie 1
256Zadanie 2
256Zadanie 9
257Zadanie 11
257Zadanie 16
162Zadanie 1
261Zadanie 4
262Zadanie 5
262Zadanie 8
262Zadanie 11
263Zadanie 12
263