W tym zadaniu musisz obliczyć objętość bryły przedstawionej na rysunku.
BRYŁA 1
BRYŁA 2
BRYŁA 3
BRYŁA 4
BRYŁA 5
BRYŁA 6
BRYŁA 1
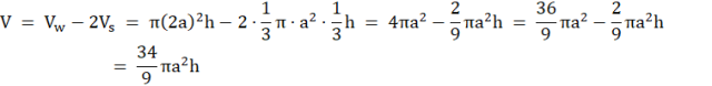
Zauważ, że objętość bryły jest równa różnicy objętości walca o promieniu podstawy 2a i wysokości h oraz stożka o promieniu podstawy 2a i wysokości ½ h
BRYŁA 2
Zauważ, że objętość bryły jest równa różnicy objętości walca o promieniu podstawy 2a i wysokości h oraz dwóch stożków o promieniu podstawy a i wysokości i
BRYŁA 3
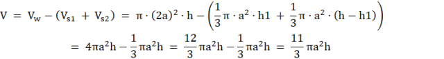
Zauważ, że objętość bryły jest równa różnicy objętości walca o promieniu podstawy 2a i wysokości h oraz dwóch stożków: jeden o promieniu podstawy a i wysokości h1, a drugi o promieniu podstawy a i wysokości h-h1
BRYŁA 4
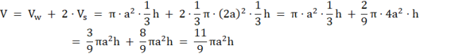
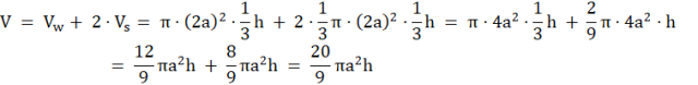
Zauważ, że objętość bryły jest równa sumie objętości walca o promieniu podstawy 2a i wysokości ½ h oraz stożka o promieniu podstawy a i wysokości ½ h
BRYŁA 5
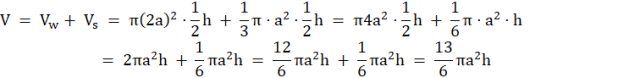
Zauważ, że objętość bryły jest równa sumie objętości walca o promieniu podstawy 2a i wysokości
BRYŁA 6
Zauważ, że objętość bryły jest równa sumie objętości walca o promieniu podstawy a i wysokości i
Zadanie 2
234Zadanie 3
234Zadanie 4
234Zadanie 5
234Zadanie 6
234Zadanie 7
235Zadanie 8
235Zadanie 9
235Zadanie 10
235Zadanie 13
235Zadanie 14
235Zadanie 15
236Zadanie 17
162Zadanie 18
236Zadanie 24
162Zadanie 25
237Zadanie 26
238Zadanie 27
238Zadanie 1
243Zadanie 3
243Zadanie 4
244Zadanie 5
244Zadanie 6
244Zadanie 7
244Zadanie 8
244Zadanie 9
244Zadanie 10
245Zadanie 12
245Zadanie 14
245Zadanie 15
245Zadanie 16
162Zadanie 2
249Zadanie 3
162Zadanie 4
250Zadanie 6
250Zadanie 14
251Zadanie 1
256Zadanie 2
256Zadanie 9
257Zadanie 11
257Zadanie 16
162Zadanie 1
261Zadanie 4
262Zadanie 5
262Zadanie 8
262Zadanie 11
263Zadanie 12
263