a = 28 cm
b = 20 cm
c = 5 cm
a = b + 2x
28 = 20 + 2x
2x = 8
x = 4 cm
h2 + x2 = c2
h2 = 25 – 16
h = 3 cm
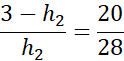
h1 + h2 = h
20h2 = 84 – 28h2
48h2 = 84
h2 = 1,75 cm
Odp.: Odległość punktu przecięcia przekątnych do dłuższej podstawy wynosi 1,75 cm.
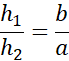
Oblicz wysokość trapezu, a następnie zauważ, że stosunek odległości punktu przecięcia przekątnych od podstaw jest równy stosunkowi długości podstaw.