Pk = 12 cm2
a2 = 12 cm2
Pf = P1 + P2 + P3
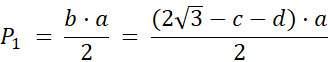
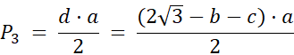
b + c + d = a
Pf = 6
Zauważ, że zamalowana figura to suma pól trzech trójkątów o wysokościach równych długości boku kwadratu i podstawach, których długości po zsumowaniu dają długość boku kwadratu.