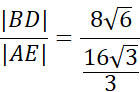
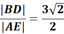
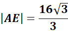
Oblicz stosunek długości przekątnej kwadratu do przeciwprostokątnej trójkąta AED, jeśli wiesz, że na boku kwadratu CD zaznaczono punkty E i F, które dzielą bok na trzy odcinki równej długości. Przez punkty A i E poprowadzono prostą, a pole trapezu ABCE jest równe 160 cm2.
Rozwiązanie
Wyjaśnienie
Musisz utworzyć stosunek i obliczyć podane odcinki. Jeden z nich to przekątna kwadratu, którego długość boku znamy, a drugi, to przeciwprostokątna, której długość możemy obliczyć, stosując twierdzenie Pitagorasa.