Pd = a2 = 25 cm2
a = 5 cm
Pm = b2 = 9 cm2
b = 3 cm
Pś = c2
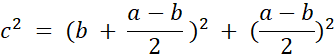
c2 = (3 + 1)2 + 12 = 16 + 1 = 17 cm2
Pś = c2 = 17 cm2
Zauważ, że bok średniego kwadratu to przeciwprostokątna trójkąta, którego przyprostokątną jest bo małego kwadratu powiększony o połowę różnicy długości boków dużego i małego kwadratu, a druga przyprostokątna ma długość równą połowie różnicy długości boku dużego i małego kwadratu.