Oblicz długość boku kwadratu, jeśli wiesz, że na boku kwadratu CD zaznaczono punkty E i F, które dzielą bok na trzy odcinki równej długości. Przez punkty A i E poprowadzono prostą, a pole trapezu ABCE jest równe 160 cm2.
Rozwiązanie
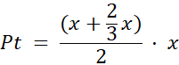
|CD| = x
Pt = 160 cm2
5x2 = 960
x2 = 192
Wyjaśnienie
Zauważ, że pole trapezu opiera się na długości boku kwadratu, możemy więc utworzyć odpowiednie równanie i obliczyć jego długość.