a – długość dłuższego boku prostokąta
b – długość krótszego boku prostokąta
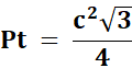
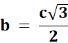
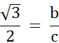
c – przekątna prostokątna
α = 60°
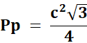
Pp = ab
Korzystając z funkcji trygonometrycznych przedstaw długość boków prostokąta a, b za pomocą długości przekątnej c, a następnie podstaw do wzoru na pole prostokąta.