Zadanie

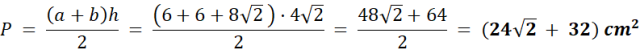
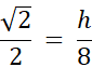
Podaj jakie ma pole trapez równoramienny, którego kąt ostry przy podstawie ma miarę 45°, a długość ramienia wynosi 8 cm. Na krótszej podstawie trapezu zbudowano trójkąt równoboczny o boku równym długości tej podstawy. Obwód otrzymanego pięciokąta wynosi

Rozwiązanie

Wyjaśnienie

Zadania z tego działu
Figury płaskie
184