Zamalowana:
- trzy trójkąty mają podstawy równe 1 i wysokość równą 2, zatem ich pole, to:
- cztery trójkąty mają podstawy równe 1, a wysokości równe 4:
P1 + P2 = 3 + 8 = 11
Niezamalowana:
- pole kwadratu odjąć pole figur zamalowanych:
Pk = 62
Pk = 36
Pk – (P1 + P2) = 36 – 11 = 25
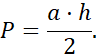
Pole trójkąta obliczysz ze wzoru:
Pamiętaj, żeby pomnożyć je jeszcze przez ilość tych pól.