Pk = 12 cm2
a2 = 12 cm2
Pf = 6 cm2
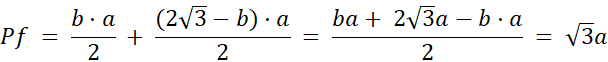
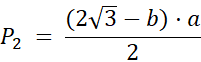
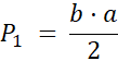
Zauważ, że zamalowana figura to suma pól dwóch trójkątów o podstawach równych długości boku kwadratu i wysokościach, których długości po zsumowaniu dają długość boku kwadratu.