a – długość boku pięciokąta
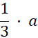
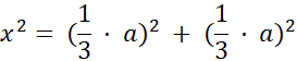
Ale długość co drugiego boku dziesięciokąta to długość przeciwprostokątnej trójkąta, którego przyprostokątne mają długość:
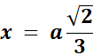
Zatem nie wszystkie boki dziesięciokąta mają taką samą długość.
Z twierdzenia Pitagorasa musisz obliczyć długość co drugiego boku dziesięciokąta:
a2 + b2 = c2,
gdzie a i b to przyprostokątne, a c to przeciwprostokątna.