a = 1 – długość boku trójkąta oraz kwadratu
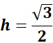
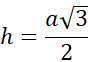
h – wysokość trójkąta równobocznego
|OA| – przekątna kwadratu
|OB| = przekątna prostokąta
|OB|2 = 12 + 22 = 5
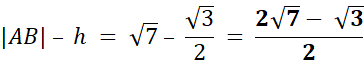
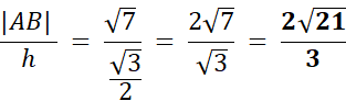
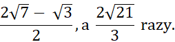
|OB|2 + |OA|2 = |AB|2
Musisz skorzystać ze wzoru na przekątną w kwadracie:
oraz ze wzoru na wysokość w trójkącie równobocznym: