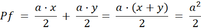
Wiedząc, że pole kwadratu wynosi 12 cm2 wskaż pole zamalowanej figury.
Rozwiązanie
Wyjaśnienie
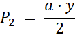
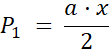
Zauważ, że zamalowana figura to suma pól dwóch trójkątów o wysokościach równych długości boku kwadratu i podstawach, których długości po zsumowaniu dają długość boku kwadratu.