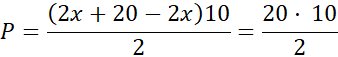
h = 10 cm
h = x + y
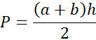
a, b – podstawy trapezu
a = 2x
b = 2y
y = 10 – x
b = 20 – 2x
P = 100 cm2
Odp.: Pole tego trapezu wynosi 100 cm2.
Zauważ, że przekątne tworzą dwa trójkąty równoramienne, prostokątne i zachodzą odpowiednie zależności między podstawami, a wysokością. Odcinek przechodzący przez punkt przecięcia przekątnych ma długość równą wysokości i jest podzielony w stosunku x do y, gdzie 2x to długość krótszej podstawy, a 2y to długość dłuższej podstawy.