1)
P = 6000 m2
P = 0,6 ha
2)
P = 0,3 ha
3)
P = a2
P = 3600 m2
P = 0,36 ha
4)
P = a · h
P = 70 · 50
P = 3500 m2 = 0,35 ha
0,3 ha < 0,35 ha < 0,36 ha < 0,6 ha
Odp.: Najmniejsza jest działka II, największa I.
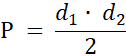
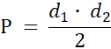
Stosując wzory, oblicz pola figur, a następnie zamień jednostki. Pole trapezu:
Pole rombu:
Pole kwadratu:
P = a2
Pole prostokąta:
P = a · b