Pcz = Pp – (P1 + P2 + P3 + P4)
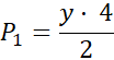
P1 = 14 cm2
4y = 28
y = 7 cm
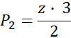
P2 = 21 cm2
3z = 42
z = 14 cm
a = y + z
a = 7 cm + 14 cm
a = 21 cm
x2 = 125 – 100
x = 5cm
b = 4 cm + x = 9 cm
Pp = a · b = 21 · 9 = 189 cm2
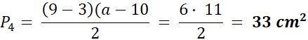
Pcz = 189 – (14 + 21 + 25 + 33) = 189 – 93 = 96 cm2
Zauważ, że pole figury zielonej możesz obliczyć odejmując od pola prostokąta pola czterech trójkątów prostokątnych (koloru białego).