Podaj, ile wynosi pole trójkąta ABC.
Pt = P1 + P2 + P3
Pt = 264 + 621 + 435 = 1320
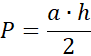
Zwróć uwagę, że pole naszego trójkąta to suma pól, które obliczysz ze wzoru:
Zadanie 1.
Zadanie 2.
Zadanie 3.
Zadanie 4.
Zadanie 5.
Podpunkt a)
Podpunkt b)
Podpunkt c)
Podpunkt d)
Zadanie 6.
Zadanie 7.
Zadanie 8.
Zadanie 9.
Zadanie 10.
Zadanie 11.
Zadanie 12.
Zadanie 13.
Zadanie 14.
Podpunkt e)
Zadanie 15.
Zadanie 16.
Zadanie 17.
Zadanie 18.
Zadanie 19.
Zadanie 20.
Zadanie 21.
Zadanie 22.
Zadanie 23.
Zadanie 24.
Zadanie 25.
Zadanie 26.
Ćwiczenie 1.
Ćwiczenie 2.
Ćwiczenie 3.
Ćwiczenie 4.
Ćwiczenie 5.
Ćwiczenie 6.
Ćwiczenie 7.
Ćwiczenie 8.
Ćwiczenie 9.
Zadanie 27.
Zadanie 28.
Ćwiczenie 10.
Ćwiczenie 11.