Znajdź takie same liczby:
I.
II.
III.
IV.
A.
B.
C.
D.
I. – B.
II. – C.
III. – A
IV. – D.
Odpowiedź: I-B, II-C, III-A, IV-D.
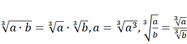
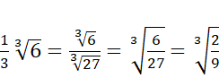
Skorzystaj z tego, że i wykonując proste rachunki na ułamkach oblicz wartości wyrażeń.
Zadanie 1.
Zadanie 2.
Zadanie 3.
Zadanie 4.
Zadanie 5.
Zadanie 6.
Zadanie 7.
Zadanie 8.
Podpunkt a)
Podpunkt b)
Podpunkt c)
Podpunkt d)
Podpunkt e)
Podpunkt f)
Podpunkt g)
Podpunkt h)
Podpunkt i)
Podpunkt j)
Podpunkt k)
Podpunkt l)
Podpunkt m)
Podpunkt n)
Zadanie 9.
Zadanie 10.
Zadanie 11.
Zadanie 12.
Zadanie 13.