Odpowiedź: B. 3
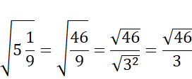
Najpierw zamień ułamek pod pierwiastkiem na ułamek niewłaściwy, wiedząc, że pierwiastek ilorazu to iloraz pierwiastków oblicz pierwiastek z mianownika podanej liczby. Następnie ogranicz ułamek z obu stron, przez których liczby pierwiastki potrafisz policzyć. Wylicz te pierwiastki i zauważ, że skoro 2 jest mniejsze od naszej podanej liczby oraz