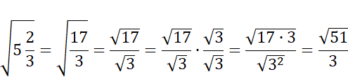
Usuń niewymierność z mianownika.
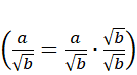
Najpierw zamień ułamek pod pierwiastkiem na ułamek niewłaściwy, a następnie, aby usunąć niewymierność z mianownika, musisz pomnożyć daną liczbę przez ułamek, który będzie miał w liczniku i mianownik pierwiastek z mianownika danej liczby.
Zadanie 1.
Zadanie 2.
Zadanie 3.
Zadanie 4.
Zadanie 5.
Zadanie 6.
Zadanie 7.
Zadanie 8.
Podpunkt a)
Podpunkt b)
Podpunkt c)
Podpunkt d)
Podpunkt e)
Podpunkt f)
Podpunkt g)
Podpunkt h)
Podpunkt i)
Podpunkt j)
Podpunkt k)
Podpunkt l)
Podpunkt m)
Podpunkt n)
Zadanie 9.
Zadanie 10.
Zadanie 11.
Zadanie 12.
Zadanie 13.