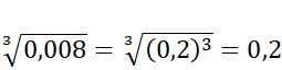
Ile jest równa liczba ?
A 0,004
B.0,02
C.0,4
D.0,2
Odpowiedź: D. (0,2)
Aby obliczyć pierwiastek trzeciego stopnia z danej liczby musisz znaleźć taką liczbę, która podniesiona do trzeciej potęgi da liczbę pod pierwiastkiem.
Zadanie 1.
Zadanie 2.
Zadanie 3.
Zadanie 4.
Zadanie 5.
Zadanie 6.
Zadanie 7.
Zadanie 8.
Podpunkt a)
Podpunkt b)
Podpunkt c)
Podpunkt d)
Podpunkt e)
Podpunkt f)
Podpunkt g)
Podpunkt h)
Podpunkt i)
Podpunkt j)
Podpunkt k)
Podpunkt l)
Podpunkt m)
Podpunkt n)
Zadanie 9.
Zadanie 10.
Zadanie 11.
Zadanie 12.
Zadanie 13.