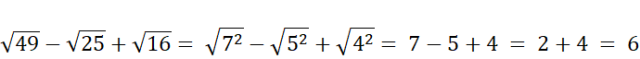
Ile jest równa liczba
A. -2
B. 2
C. 4
D. 6
Odpowiedź: D. 6
Najpierw liczymy wartości wszystkich podanych pierwiastków (aby to zrobić szukamy liczby, która podniesiona do drugiej potęgi da nam liczbę pod pierwiastkiem). Następnie odejmujemy i dodajemy otrzymane liczby.
Zadanie 1.
Zadanie 2.
Zadanie 3.
Zadanie 4.
Zadanie 5.
Zadanie 6.
Zadanie 7.
Zadanie 8.
Podpunkt a)
Podpunkt b)
Podpunkt c)
Podpunkt d)
Podpunkt e)
Podpunkt f)
Podpunkt g)
Podpunkt h)
Podpunkt i)
Podpunkt j)
Podpunkt k)
Podpunkt l)
Podpunkt m)
Podpunkt n)
Zadanie 9.
Zadanie 10.
Zadanie 11.
Zadanie 12.
Zadanie 13.