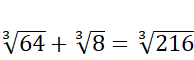
A.
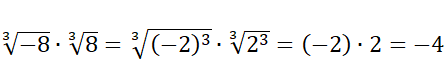
B.
C.
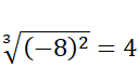
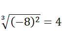
D.
Odpowiedź: A.
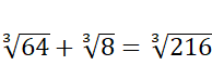
A. Aby obliczyć pierwiastek trzeciego stopnia z danej liczby, musisz znaleźć taką liczbę, która podniesiona do trzeciej potęgi da liczbę pod pierwiastkiem. Sprawdź, czy suma otrzymanych liczb podniesiona do potęgi 3 będzie równa 216.
B. Aby obliczyć pierwiastek trzeciego stopnia z danej liczby, musisz znaleźć taką liczbę, która podniesiona do trzeciej potęgi da liczbę pod pierwiastkiem. Sprawdź, czy różnica otrzymanych liczb podniesiona do potęgi 3 będzie równa 56.
C. Aby obliczyć pierwiastek trzeciego stopnia z danej liczby, musisz znaleźć taką liczbę, która podniesiona do trzeciej potęgi da liczbę pod pierwiastkiem. Sprawdź, czy iloczyn otrzymanych liczb podniesiony do potęgi 3 będzie równa 0.
D. Podnieś liczbę pod pierwiastkiem do kwadratu. Następnie, aby obliczyć pierwiastek trzeciego stopnia z danej liczby, musisz znaleźć taką liczbę, która podniesiona do trzeciej potęgi da liczbę pod pierwiastkiem.