Uzupełnij zdanie liczbą całkowitą.
Liczba = ___ .
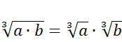
Rozłóż liczby pod pierwiastkami na iloczyn 7 i odpowiednich liczb, a następnie oblicz pierwiastki korzystając z własności: .
Zadanie 1.
Zadanie 2.
Zadanie 3.
Zadanie 4.
Zadanie 5.
Zadanie 6.
Zadanie 7.
Zadanie 8.
Podpunkt a)
Podpunkt b)
Podpunkt c)
Podpunkt d)
Podpunkt e)
Podpunkt f)
Podpunkt g)
Podpunkt h)
Podpunkt i)
Podpunkt j)
Podpunkt k)
Podpunkt l)
Podpunkt m)
Podpunkt n)
Zadanie 9.
Zadanie 10.
Zadanie 11.
Zadanie 12.
Zadanie 13.