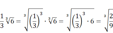
Zapisz liczbę w całości pod jednym pierwiastkiem.
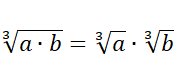
Zauważ, że zachodzi: , a więc, aby zapisać daną liczbę pod jednym pierwiastkiem, musisz podnieść do trzeciej potęgi liczbę, która stoi przed nim i otrzymaną wartość zapisać pod pierwiastkiem. Następnie skorzystaj z tego, że .
Zadanie 1.
Zadanie 2.
Zadanie 3.
Zadanie 4.
Zadanie 5.
Zadanie 6.
Zadanie 7.
Zadanie 8.
Podpunkt a)
Podpunkt b)
Podpunkt c)
Podpunkt d)
Podpunkt e)
Podpunkt f)
Podpunkt g)
Podpunkt h)
Podpunkt i)
Podpunkt j)
Podpunkt k)
Podpunkt l)
Podpunkt m)
Podpunkt n)
Zadanie 9.
Zadanie 10.
Zadanie 11.
Zadanie 12.
Zadanie 13.