Usuń niewymierność z mianownika.
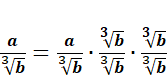
Zauważ, że zachodzi: . Więc, aby usunąć niewymierność z mianownika, w którym jest pierwiastek stopnia trzeciego, należy pomnożyć daną liczbę dwa razy przez ułamek, który będzie miał w liczniku i mianownik pierwiastek z mianownika danej liczby.
Zadanie 1.
Zadanie 2.
Zadanie 3.
Zadanie 4.
Zadanie 5.
Zadanie 6.
Zadanie 7.
Zadanie 8.
Podpunkt a)
Podpunkt b)
Podpunkt c)
Podpunkt d)
Podpunkt e)
Podpunkt f)
Podpunkt g)
Podpunkt h)
Podpunkt i)
Podpunkt j)
Podpunkt k)
Podpunkt l)
Podpunkt m)
Podpunkt n)
Zadanie 9.
Zadanie 10.
Zadanie 11.
Zadanie 12.
Zadanie 13.