A.
B.
C.
D.
Odpowiedź: B,D
Aby obliczyć pierwiastek kwadratowy z danej liczby, znajdź liczbę, która podniesiona do drugiej potęgi da liczbę pod pierwiastkiem.
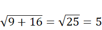
A. W pierwszym kroku oblicz wartość wyrażenia pod pierwiastkiem. Następnie, oblicz pierwiastek kwadratowy z tej liczby. Wynik jest równy 5, a nie 7.
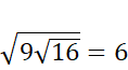
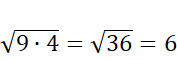
B. Oblicz pierwiastek kwadratowy z 16, a następnie pomnóż obie liczby i wyznacz pierwiastek z ich iloczynu.
C. Oblicz pierwiastki kwadratowe z obu liczb, a następnie dodaj do siebie obie liczby.
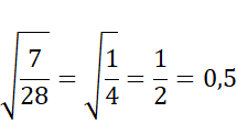
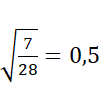
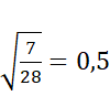
D. Skróć ułamek pod pierwiastkiem, a następnie oblicz pierwiastek z otrzymanej liczby.