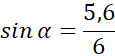
W tym zadaniu rozważ, czy możliwe jest wejście po drabinie mającej 6 m długości na balkon drugiego piętra, jeśli jedno piętro budynku mierzy około 2,8 m wysokości. Dodatkowo wiadomo, że jeśli drabina ma być stabilna powinna być ustawiona tak, aby jej kąt nachylenia do podstawy był nie większy niż 65°.
Odp.: Bezpieczne wejście na drugie piętro po tej drabinie jest nie możliwe, ponieważ wartość kąta nachylenia przekracza 65°.
Aby rozwiązać to zadanie stwórz rysunek pomocniczy i zauważ, że możesz wykorzystać odpowiednią funkcję trygonometryczną kąta ostrego w trójkącie prostokątnym, w celu wyznaczenia kąta nachylenia drabiny sięgającej na drugie piętro.
Zadanie 1.1.
229Zadanie 1.3.
229Zadanie 1.4.
229Zadanie 1.5.
229Zadanie 1.6.
229Zadanie 1.7.
230Zadanie 1.8.
230Zadanie 1.9.
230Zadanie 1.10.
230Zadanie 1.11.
230Zadanie 1.12.
231Zadanie 1.16.
231Zadanie 1.17.
231Zadanie 1.18.
231Zadanie 1.19.
231Zadanie 1.20.
231Zadanie 2.1.
237Zadanie 2.2.
237Zadanie 2.3.
237Zadanie 2.4.
237Zadanie 2.6.
238Zadanie 2.7.
238Zadanie 2.8.
238Zadanie 2.9.
238Zadanie 3.12.
244Zadanie 3.19.
245Zadanie 4.5.
251Zadanie 4.6.
251Zadanie 4.18.
253Zadanie 5.2.
262Zadanie 5.3.
262Zadanie 5.5.
262Zadanie 5.6.
263Zadanie 5.7.
263Zadanie 5.8.
263Zadanie 5.9.
263Zadanie 5.10.
263Zadanie 5.11.
263Zadanie 6.1.
268Zadanie 6.2.
268Zadanie 6.3.
269Zadanie 6.4.
269Zadanie 6.9.
269Zadanie 6.14.
269Zadanie 6.15.
270Zadanie 28.
274Zadanie 29.
274Zadanie 30.
274Zadanie 40.
275Zadanie 41.
275Zadanie 51.
276