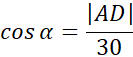
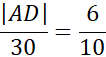
W tym zadaniu podaj, ile wynoszą obwód i pole trójkąta równoramiennego ABC, który został opisany na okręgu o środku O. Wiadomym jest, że kąt między podstawą AB trójkąta, a promieniem OA okręgu, który wynosi 30, ma miarę α i
1 przypadek – trójkąt ABC jest ostrokątny:
2 przypadek – trójkąt ABC jest rozwartokątny:
Na podstawie obliczeń z 1 przypadku:
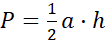
Aby rozwiązać to zadanie rozrysuj dwa możliwe przypadku trójkąta wpisanego w okrąg. Następnie wykorzystaj podane informacji oraz twierdzenie Pitagorasa i oblicz pole oraz obwód w obu przypadkach trójkąta
Zadanie 1.1.
229Zadanie 1.3.
229Zadanie 1.4.
229Zadanie 1.5.
229Zadanie 1.6.
229Zadanie 1.7.
230Zadanie 1.8.
230Zadanie 1.9.
230Zadanie 1.10.
230Zadanie 1.11.
230Zadanie 1.12.
231Zadanie 1.16.
231Zadanie 1.17.
231Zadanie 1.18.
231Zadanie 1.19.
231Zadanie 1.20.
231Zadanie 2.1.
237Zadanie 2.2.
237Zadanie 2.3.
237Zadanie 2.4.
237Zadanie 2.6.
238Zadanie 2.7.
238Zadanie 2.8.
238Zadanie 2.9.
238Zadanie 3.12.
244Zadanie 3.19.
245Zadanie 4.5.
251Zadanie 4.6.
251Zadanie 4.18.
253Zadanie 5.2.
262Zadanie 5.3.
262Zadanie 5.5.
262Zadanie 5.6.
263Zadanie 5.7.
263Zadanie 5.8.
263Zadanie 5.9.
263Zadanie 5.10.
263Zadanie 5.11.
263Zadanie 6.1.
268Zadanie 6.2.
268Zadanie 6.3.
269Zadanie 6.4.
269Zadanie 6.9.
269Zadanie 6.14.
269Zadanie 6.15.
270Zadanie 28.
274Zadanie 29.
274Zadanie 30.
274Zadanie 40.
275Zadanie 41.
275Zadanie 51.
276