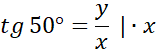
W tym zadaniu podaj informacje o odległości, jaką Państwo Mamutowie mieli do skrzyżowania z drogą dojazdową oraz o długości tej drogi na podstawie podanego opisu. Państwo Mamutowie jechali na wakacje szosą, która przez dłuższy odcinek nie miała żadnych zakrętów. W pewnej chwili spostrzegli po prawej stronie szosy pod kątem 20° do kierunku jazdy ruiny zamku, które zamierzali zwiedzić. Po przejechaniu 2 km ruiny stały się widoczne pod kątem 50° do kierunku jazdy. Prostopadle do szosy prowadzi droga dojazdowa do zabytku.
x – długość drogi do skrzyżowania
y – długość drogi dojazdowej
Aby rozwiązać to zadanie stwórz rysunek pomocniczy i zauważ, że możesz wykorzystać odpowiednią funkcję trygonometryczną kąta ostrego w trójkącie prostokątnym, w celu wyznaczenia długości odcinków drogi.
Zadanie 1.1.
229Zadanie 1.3.
229Zadanie 1.4.
229Zadanie 1.5.
229Zadanie 1.6.
229Zadanie 1.7.
230Zadanie 1.8.
230Zadanie 1.9.
230Zadanie 1.10.
230Zadanie 1.11.
230Zadanie 1.12.
231Zadanie 1.16.
231Zadanie 1.17.
231Zadanie 1.18.
231Zadanie 1.19.
231Zadanie 1.20.
231Zadanie 2.1.
237Zadanie 2.2.
237Zadanie 2.3.
237Zadanie 2.4.
237Zadanie 2.6.
238Zadanie 2.7.
238Zadanie 2.8.
238Zadanie 2.9.
238Zadanie 3.12.
244Zadanie 3.19.
245Zadanie 4.5.
251Zadanie 4.6.
251Zadanie 4.18.
253Zadanie 5.2.
262Zadanie 5.3.
262Zadanie 5.5.
262Zadanie 5.6.
263Zadanie 5.7.
263Zadanie 5.8.
263Zadanie 5.9.
263Zadanie 5.10.
263Zadanie 5.11.
263Zadanie 6.1.
268Zadanie 6.2.
268Zadanie 6.3.
269Zadanie 6.4.
269Zadanie 6.9.
269Zadanie 6.14.
269Zadanie 6.15.
270Zadanie 28.
274Zadanie 29.
274Zadanie 30.
274Zadanie 40.
275Zadanie 41.
275Zadanie 51.
276