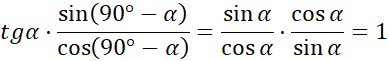
W tym zadaniu sprowadź wyrażenie
Aby uprościć wyrażenie wykonaj działania, korzystając z zależności między funkcjami trygonometrycznymi tego samego kąta ostrego
Zadanie 1.1.
229Zadanie 1.3.
229Zadanie 1.4.
229Zadanie 1.5.
229Zadanie 1.6.
229Zadanie 1.7.
230Zadanie 1.8.
230Zadanie 1.9.
230Zadanie 1.10.
230Zadanie 1.11.
230Zadanie 1.12.
231Zadanie 1.16.
231Zadanie 1.17.
231Zadanie 1.18.
231Zadanie 1.19.
231Zadanie 1.20.
231Zadanie 2.1.
237Zadanie 2.2.
237Zadanie 2.3.
237Zadanie 2.4.
237Zadanie 2.6.
238Zadanie 2.7.
238Zadanie 2.8.
238Zadanie 2.9.
238Zadanie 3.12.
244Zadanie 3.19.
245Zadanie 4.5.
251Zadanie 4.6.
251Zadanie 4.18.
253Zadanie 5.2.
262Zadanie 5.3.
262Zadanie 5.5.
262Zadanie 5.6.
263Zadanie 5.7.
263Zadanie 5.8.
263Zadanie 5.9.
263Zadanie 5.10.
263Zadanie 5.11.
263Zadanie 6.1.
268Zadanie 6.2.
268Zadanie 6.3.
269Zadanie 6.4.
269Zadanie 6.9.
269Zadanie 6.14.
269Zadanie 6.15.
270Zadanie 28.
274Zadanie 29.
274Zadanie 30.
274Zadanie 40.
275Zadanie 41.
275Zadanie 51.
276