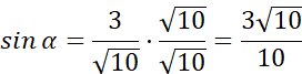
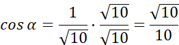
W tym zadaniu wyznacz, ile wynoszą wszystkie funkcje trygonometryczne kąta α wiedząc, że jest to kąt ostry i
Aby rozwiązać to zadanie skorzystaj z definicji sinusa, cosinusa oraz tangensa kąta ostrego w trójkącie prostokątnym oraz twierdzenia Pitagorasa a2 + b2 = c2.
Sinusem kąta ostrego α nazywamy stosunek długości przyprostokątnej, która leży naprzeciwko tego kąta do długości przeciwprostokątnej. Oznaczamy jako sinα.
Cosinusem kąta ostrego α nazywamy stosunek długości przyprostokątnej, która przylega do tego kąta do długości przeciwprostokątnej. Oznaczamy jako cosα.
Tangensem kąta ostrego α nazywamy stosunek długości przyprostokątnej, która leży naprzeciwko tego kąta do długości przyprostokątnej przylegającej do niego. Oznaczamy jako tgα.
Zadanie 1.1.
229Zadanie 1.3.
229Zadanie 1.4.
229Zadanie 1.5.
229Zadanie 1.6.
229Zadanie 1.7.
230Zadanie 1.8.
230Zadanie 1.9.
230Zadanie 1.10.
230Zadanie 1.11.
230Zadanie 1.12.
231Zadanie 1.16.
231Zadanie 1.17.
231Zadanie 1.18.
231Zadanie 1.19.
231Zadanie 1.20.
231Zadanie 2.1.
237Zadanie 2.2.
237Zadanie 2.3.
237Zadanie 2.4.
237Zadanie 2.6.
238Zadanie 2.7.
238Zadanie 2.8.
238Zadanie 2.9.
238Zadanie 3.12.
244Zadanie 3.19.
245Zadanie 4.5.
251Zadanie 4.6.
251Zadanie 4.18.
253Zadanie 5.2.
262Zadanie 5.3.
262Zadanie 5.5.
262Zadanie 5.6.
263Zadanie 5.7.
263Zadanie 5.8.
263Zadanie 5.9.
263Zadanie 5.10.
263Zadanie 5.11.
263Zadanie 6.1.
268Zadanie 6.2.
268Zadanie 6.3.
269Zadanie 6.4.
269Zadanie 6.9.
269Zadanie 6.14.
269Zadanie 6.15.
270Zadanie 28.
274Zadanie 29.
274Zadanie 30.
274Zadanie 40.
275Zadanie 41.
275Zadanie 51.
276