W tym zadaniu podaj, ile wynoszą boki oraz kąty trójkąta ABC, którego kąt przy wierzchołku C wynosi 90°,
∢A = 48⁰
∢B = 90⁰ - 48⁰ = 42⁰
|AC| = 11
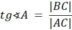
|BC| = |AC|·tg∢A
|BC| = 11 · 1,1106 ≈ 12,2
Aby rozwiązać to zadanie wykorzystaj informację o podanych kątach w trójkącie (suma kątów w trójkącie wynosi 180°) oraz o długości jego boku. Użyj funkcji trygonometrycznych oraz twierdzenia Pitagorasa w celu obliczenia szukanych wartości. Wartości funkcji trygonometrycznych danego kąta możesz znaleźć w arkuszach wybranych wzorów matematycznych na egzamin maturalny.
Zadanie 1.1.
229Zadanie 1.3.
229Zadanie 1.4.
229Zadanie 1.5.
229Zadanie 1.6.
229Zadanie 1.7.
230Zadanie 1.8.
230Zadanie 1.9.
230Zadanie 1.10.
230Zadanie 1.11.
230Zadanie 1.12.
231Zadanie 1.16.
231Zadanie 1.17.
231Zadanie 1.18.
231Zadanie 1.19.
231Zadanie 1.20.
231Zadanie 2.1.
237Zadanie 2.2.
237Zadanie 2.3.
237Zadanie 2.4.
237Zadanie 2.6.
238Zadanie 2.7.
238Zadanie 2.8.
238Zadanie 2.9.
238Zadanie 3.12.
244Zadanie 3.19.
245Zadanie 4.5.
251Zadanie 4.6.
251Zadanie 4.18.
253Zadanie 5.2.
262Zadanie 5.3.
262Zadanie 5.5.
262Zadanie 5.6.
263Zadanie 5.7.
263Zadanie 5.8.
263Zadanie 5.9.
263Zadanie 5.10.
263Zadanie 5.11.
263Zadanie 6.1.
268Zadanie 6.2.
268Zadanie 6.3.
269Zadanie 6.4.
269Zadanie 6.9.
269Zadanie 6.14.
269Zadanie 6.15.
270Zadanie 28.
274Zadanie 29.
274Zadanie 30.
274Zadanie 40.
275Zadanie 41.
275Zadanie 51.
276