Zadanie

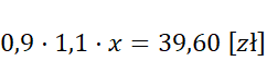
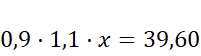
Określ, czy podane zdania są prawdziwe, czy fałszywe, wiedząc, że początkowa cena towaru wynosiła x, a poddano ją najpierw 10% podwyżce, a następnie obniżce o 10%, w wyniku czego towar kosztuje 39,60 zł.

Cenę towaru po podwyżce o 10% opisuje wyrażenie .

Cenę towaru przed zmianami można obliczyć, rozwiązując równanie

Rozwiązanie

Wyjaśnienie

Zadania z tego działu
8. Rachunek algebraiczny i równania
63
8.1. Zapisywanie wyrażeń algebraicznych
63
8.2. Mnożenie sumy algebraicznej przez jednomian
64
8.5. Przekształcanie wzorów
69
8.6. Zadania tekstowe z zastosowaniem równań
70