Zadanie

Uzupełnij poprawnie zdania, wybierając odpowiednie wyrażenia, wiedząc, że w klasie jest x dziewcząt, a liczba chłopców jest o 5 mniejsza.

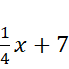
Liczbę uczniów w tej klasie opisuje wyrażenie A / B.

A.

B.

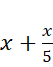
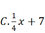
W zawodach sportowych wzięła udział co czwarta dziewczyna z tej klasy. W turnieju uczestniczyło także 7 chłopców z tej klasy. Liczbę uczniów biorących udział w zawodach opisuje wyrażenie C / D.

D.

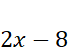
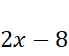
W poniedziałek w klasie nie było 2 dziewcząt i jednego chłopca. Liczbę uczniów obecnych w poniedziałek w szkole opisuje wyrażenie E / F.

E.

F.

Rozwiązanie

Wyjaśnienie

Zadania z tego działu
8. Rachunek algebraiczny i równania
63
8.1. Zapisywanie wyrażeń algebraicznych
63
8.2. Mnożenie sumy algebraicznej przez jednomian
64
8.5. Przekształcanie wzorów
69
8.6. Zadania tekstowe z zastosowaniem równań
70