Wyznacz przyspieszenie (a) ze wzoru na drogę (s) w ruchu jednostajnie przyspieszonym , gdzie t – czas ruchu.
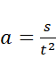
A.
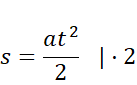
B.
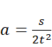
C.
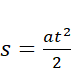
D.
Odpowiedź: A.
Przekształć podane równanie w taki sposób, aby po jego jednej stronie znajdowała się zmienna a, a po drugiej – pozostałe wyrażenia.
Zadanie 1.
Zadanie 2.
Zadanie 3.
Podpunkt a)
Podpunkt b)
Podpunkt c)
Zadanie 4.
Podpunkt I.
Podpunkt II.
Podpunkt d)
Zadanie 5.
Podpunkt e)
Podpunkt f)
Zadanie 6.
Podpunkt III.
Podpunkt I
Podpunkt II