W tym zadaniu musisz określić która prosta spośród podanych jest prostopadła do prostej zadanej równaniem x – 2y – 3 = 0.
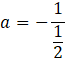
Współczynnik kierunkowy prostej wzorcowej wynosi
Współczynnik kierunkowy prostej prostopadłej do prostej wzorcowej wynosi -2
Odp.: B.
Aby określić która prosta jest prostopadła do podanej prostej musisz określić która prosta ma współczynnik kierunkowy spełniający zależność na prostopadłość prostych. Każda z podanych prostych zapisana jest w postaci kierunkowej, więc możesz od razu odczytać, ile wynosi jej współczynnik kierunkowy. Jednakże prosta wzorcowa zapisana jest w postaci ogólnej, więc aby określić jej współczynnik kierunkowy musisz zapisać ją w postaci kierunkowej.
Spójrz, jak wygląda postać kierunkowa równania prostej. Po jednej stronie równania jest zawsze y, zaś po drugiej wyrażenie z x i wyraz wolny. Oczywiście współczynnik stojący przy x może wynosić 0, wtedy nie zapisuje się go i po drugiej stronie stoi jedynie wyraz wolny. Więc aby zapisać równanie w postaci kierunkowej musisz przenieść y na jedną stronę tak by był jedynym wyrażeniem z tej strony, a następnie ewentualnie pozbyć się liczby stojącej przy y.
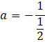
Współczynnik kierunkowy prostej wzorcowej wynosi
Teraz musisz wyliczyć, ile powinien wynosić współczynnik kierunkowy prostej prostopadłej do prostej wzorcowej. Aby to zrobić musisz podstawić do warunku na prostopadłość prostych wyznaczony współczynnik kierunkowy prostej wzorcowej.
Więc prosta prostopadła do prostej wzorcowej musi mieć współczynnik kierunkowy wynoszący -2 (a więc liczba stojąca przy x musi wynosić -2). Musisz spośród podanych odpowiedzi znaleźć taką prostą. Oczywiście jest to prosta:
Ćwiczenie B.
11Ćwiczenie C.
12Zadanie 1.
14Zadanie 2.
14Zadanie 6.
14Zadanie 9.
15Zadanie 10.
15Zadanie 12.
15Zadanie 13.
15Zadanie 14.
15Zadanie 16.
15Zadanie 17.
15Ćwiczenie A.
17Ćwiczenie B.
17Przykład 2.
19Zadanie 1.
20Zadanie 2.
20Zadanie 4.
20Zadanie 5.
20Zadanie 7.
20Zadanie 8.
20Zadanie 9.
21Zadanie 10.
21Zadanie 11.
21Zadanie 14.
21Zadanie 15.
21Zadanie 16.
21Zadanie 17.
22Zadanie 1.
26Zadanie 3.
26Zadanie 4.
27Zadanie 6.
27Zadanie 7.
27Zadanie 8.
27Zadanie 9.
27Zadanie 12.
27Ćwiczenie B.
29Zadanie 1.
30Zadanie 3.
30Zadanie 4.
30Zadanie 5.
30Zadanie 6.
30Zadanie 8.
31Zadanie 10.
31Zadanie 11.
31Zadanie 1.
35Zadanie 2.
35Zadanie 4.
36Zadanie 5.
36Zadanie 6.
36Zadanie 7.
36Zadanie 8.
36Zadanie 11.
36Zadanie 12.
36Zadanie 14.
37Zadanie 1.
38Zadanie 11.
38Zadanie 12.
38