Skoro prosta jest styczna do okręgu, w danym punkcie, to ta prosta jest prostopadła do promienia łączącego ten punkt ze środkiem okręgu. To oznacza, że jest także prostopadła do prostej, która przechodzi przez środek okręgu oraz dany punkt.
Współrzędne środka okręgu: S = (-2, 1).
Styczna przechodząca przez punkt (-3, 4)
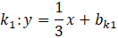
k1 – szukana prosta
l1 – prosta przechodząca przez środek okręgu i punkt (-3, 4)
Styczna przechodząca przez punkt (1, 0)
k2 – szukana prosta
l2 – prosta przechodząca przez środek okręgu i punkt (1, 0)
Punkt przecięcia się stycznych k1 z k2
Więc te dwie styczne przecinają się w punkcie:
Aby wyznaczyć współrzędne punktu, w którym przecinają się dwie proste musisz wyznaczyć najpierw równania tych prostych stycznych.
Skoro prosta jest styczna do okręgu, w danym punkcie, to ta prosta jest prostopadła do promienia łączącego ten punkt ze środkiem okręgu. To oznacza, że jest także prostopadła do prostej, która przechodzi przez środek okręgu oraz dany punkt.
Współrzędne środka tego okręgu możesz odczytać z równania okręgu. Wynoszą one: S = (-2, 1).
Najpierw wyznacz równanie stycznej która przechodzi przez punkt (-3, 4)
Współczynnik kierunkowy szukanej prostej (oznacz ją jako k1), będzie wyrażony wzorem:
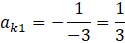
Gdzie al1 to współczynnik kierunkowy prostej przechodzącej przez środek okręgu i punkt (-3, 4). Wzór ten oczywiście wynika z tego, że proste k1 i l1 są do siebie prostopadłe.
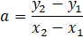
Aby obliczyć współczynnik kierunkowy prostej l1 skorzystaj z wzoru na współczynnik kierunkowy prostej przechodzącej przez punkty (x1, y1) oraz (x2, y2).
Podstawiając odpowiednio współrzędne środka okręgu i podanego w treści zadania punktu otrzymasz wynik:
Pamiętaj, że co prawda kolejność uwzględnianych punktów jest dowolna, ale musi być taka sama dla x-ów i y-ów. Więc jeśli przyjmiesz, że punktem o współrzędnych (x2, y2) jest podany punkt, to musisz konsekwentnie podstawiać za y2 i x2 współrzędne punktu podanego.
Współczynnik kierunkowy prostej k1 wynosi:
Więc równanie prostej k1 w postaci kierunkowej można zapisać jako:
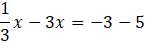
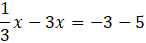
Prosta k1 przechodzi, przez podany punkt, więc podstawiając do równania kierunkowego prostej k1 za x pierwszą współrzędną tego punktu, powinieneś otrzymać w wyniku drugą współrzędną.
Więc równanie prostej k1 będącej prostą styczną do rozważanego okręgu w punkcie (-3, 4) można zapisać jako:
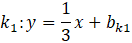
Analogicznie postępujesz dla drugiego punktu, czyli (1, 0)
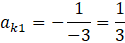
Współczynnik kierunkowy szukanej prostej (oznacz ją jako k2), będzie wyrażony wzorem:
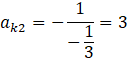
Gdzie al2 to współczynnik kierunkowy prostej przechodzącej przez środek okręgu i punkt (1, 0). Wzór ten oczywiście wynika z tego, że proste k2 i l2 są do siebie prostopadłe.
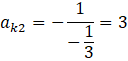
Aby obliczyć współczynnik kierunkowy prostej l2 skorzystaj z wzoru na współczynnik kierunkowy prostej przechodzącej przez punkty (x1, y1) oraz (x2, y2). Podstawiając odpowiednio współrzędne środka okręgu i podanego w treści zadania punktu otrzymasz wynik:
Pamiętaj, że co prawda kolejność uwzględnianych punktów jest dowolna, ale musi być taka sama dla x-ów i y-ów. Więc jeśli przyjmiesz, że punktem o współrzędnych (x2, y2) jest podany punkt, to musisz konsekwentnie podstawiać za y2 i x2 współrzędne punktu podanego.
Współczynnik kierunkowy prostej k2 wynosi:
Dzielenie przez ułamek to jest mnożenie przez jego odwrotność.
Więc równanie prostej k2 w postaci kierunkowej można zapisać jako:
Prosta k2 przechodzi, przez podany punkt, więc podstawiając do równania kierunkowego prostej k2 za x pierwszą współrzędną tego punktu, powinieneś otrzymać w wyniku drugą współrzędną.
Więc równanie prostej k2 będącej prostą styczną do rozważanego okręgu w punkcie (0, 1) można zapisać jako:
Pozostaje jedynie wyznaczyć punkt przecięcia się tych dwóch stycznych. W punkcie tym, wartości tych prostych wynoszą tyle samo, więc aby wyznaczyć dla jakiego argumentu się te dwie styczne przecinają musisz przyrównać do siebie równania ich obu.
Aby obliczyć drugą współrzędną tego punktu wystarczy podstawić otrzymany wynik do któregokolwiek z dwóch równań stycznych.
Więc te dwie styczne przecinają się w punkcie: