k – szukane proste
Ponieważ prosta styczna do okręgu ma tylko jeden punkt wspólny z tym okręgiem, więc powyższe równanie musi mieć jedno rozwiązanie. Ponieważ jest to równanie kwadratowe, to jedno rozwiązanie ma wtedy i tylko wtedy, gdy:
Równanie prostej przechodzącej przez punkt R i stycznej do podanego okręgu to:
Punkt R nie należy do okręgu.
Więc muszą istnieć dwie styczne do podanego okręgu przechodzące przez punkt R. Druga prosta nie jest w postaci kierunkowej, więc jest to prosta x = 1.
Sprawdzenie, czy prosta x = 1 jest styczna do okręgu.
Równanie to ma jedno rozwiązanie, więc prosta x = 1 ma jeden punkt wspólny z okręgiem, więc jest do niego styczna.
Proste styczne do tego okręgu i przechodzące przez punkt R to:
Skoro proste mają przechodzić przez punkt o współrzędnych (1, 2), to po podstawieniu pierwszej współrzędnej za x do równania tych prostych, powinieneś otrzymać drugą współrzędną.
Możesz wyprowadzić zależność między b i a:
Możesz zapisać, że szukane proste zadane są równaniami:
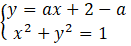
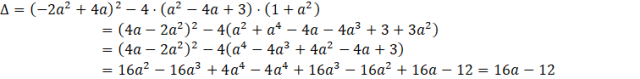
Punkt styczności będzie należał zarówno do szukanej prostej, jak i do podanego okręgu. Więc jego współrzędne będą spełniań oba równania na raz. Jednakże, równanie takie musi mieć jedno rozwiązane, gdyż dla jednej prostej stycznej do okręgu, jest tylko jeden punkt, który należy do obu. Gdyby były dwa takie punkty, to prosta przecinałaby okrąg, a nie byłaby styczna. Zapisz oba równania jako układ równań:
Zauważ, że z równania prostej masz od razu wyznaczoną zmienną y w zależności od x oraz a. Aby uzyskać równanie z jedną zmienną wystarczy, że do równania okręgu za y podstawisz równanie prostej.
Nawias zawierający trzy składniki jest podniesiony do kwadratu. Rozpisz go sobie osobno jako iloczyn dwóch nawiasów i go przemnóż (możesz także skorzystać ze wzoru na kwadrat sumy trzech składników, jednakże w podstawie programowej nie ma tego wzoru). Mnożąc dwa nawiasy przez siebie, mnożysz każdy składnik ze sobą i je do siebie dodajesz. Warto uprościć otrzymane wyrażenie.
Podstaw to co otrzymałeś do głównego wzoru.
A następnie uprość wyrażenie i przenieś wszystkie składniki na jedną stronę. Warto także zapisać to jako równanie ze względu na x, a więc uporządkuj je tak, by wszystkie składniki z x były obok siebie.
A następnie wyciągnij xw odpowiedniej potędze z tych składników.
Zauważ, że otrzymałeś równanie kwadratowe ze względu na x. Równanie to powinno mieć tylko jedno rozwiązanie (jedną wartość x będącego pierwszą współrzędną punktu styczności). Równanie kwadratowe ma jedno rozwiązanie tylko wtedy, gdy Δ = 0. Więc musisz obliczyć Δ i przyrównać ją do zera.
Teraz wystarczy rozwiązać to równanie:
Podstawiając otrzymany wynik, do wyżej uzyskanej zależności między a i b otrzymasz wartość współczynnika b.
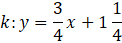
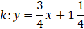
Możesz więc zapisać równanie funkcji stycznej do rozważanego okręgu i przechodzącej przez punkt (1, 2):
Jednakże zauważ, że punkt (1, 2) leży poza okręgiem. Wobec tego przechodzą przez niego dwie proste które są styczne do rozważanego okręgu. Gdyby obie te proste byłyby wyrażone za pomocą równania liniowego, otrzymałbyś je równania w wyżej użytej metodzie. Otrzymałeś jednak tylko jedną prostą. Oznacza to, że równanie drugiej prostej nie jest zapisane w postaci kierunkowej. Tylko jeden rodzaj prostych nie jest możliwy do zapisana w postaci kierunkowej i są to te proste które są prostopadłe do osi OX. Proste te mają postać x = c, gdzie c to pewna liczba. Skoro prosta ta ma przechodzić przez punkt (1, 2), to musi mieć równanie x = 1. Aby pokazać, że to faktycznie jest styczna musisz pokazać, że ma dokładnie jeden punkt styczności z rozważanym okręgiem. Wystarczy, że podstawisz równanie tej prostej za x do równania okręgu:
Otrzymałeś jedno rozwiązanie, więc jest jeden punkt styczności prostej x = 1 z rozważanym okręgiem. Więc prosta ta jest także styczna.